Chapter 10 : 加性高斯噪声(AWGN)信道¶
📖 阅读信息
阅读时间:1 分钟 | 中文字符:588
时间离散的加性高斯信道¶

幅度离散化¶

二元对称信道:
二元除删信道
容量¶
- 当输入 \(X\) 为高斯分布时等号成立,说明发送信号采用高斯分布时,互信息最大
- 干扰信道(噪声信号)为高斯分布时,互信息最小,即高斯干扰最有效
高斯信道编码定理¶
- 高斯信道编码定理:在噪声方差为 \(N\),信号功率限制为 \(P\) 的加性高斯信道上,任何速率小于 \(C\) 的码率 \(R\),是可达的,即总存在一种编码方法,使信息在该信道上无错误地可靠传播
- 逆定理:任何 \(R<C\) 是不可达的
- \(\frac{A_n(n(P+N))^{\frac{n}{2}}}{A_n(nN)^{\frac{n}{2}}}=2^{\frac{n}{2}\log(1+\frac{P}{N})}\)

逆定理证明
利用 Fano 不等式 \(H(W|Y^n)\leq 1+nRP_e^{(n)}\stackrel{\Delta}{=}n\epsilon_n\)
因为 \(P_e^{(n)}\rightarrow 0\),所以当 \(n\rightarrow\infty\) 时 \(\epsilon_n\rightarrow 0\)。因而
高斯平行信道¶
- 物理意义:OFDM; CDMA; MIMO

其中,\(P_i=EX_i^2,\sum\limits_{i=1}^kP_i\leq P\)
用拉格朗日乘数法:
根据 \(\sum\limits_{i=1}^k P_i=P\) 可以算出 \(\gamma\)
注水(灌水,Water-filling,Water-Pouring)法则:

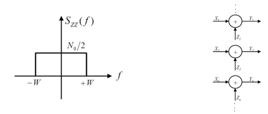
带限(模拟)高斯信道的容量¶
\(x(t),z(t)\) 的带宽均限制在 \([0,W]\) Hz 之内
-
连续信号的离散化表示(Nyquist 抽样)
\[ f(t)=\sum\limits_{n=-\infty}^{\infty}f(\frac{n}{2W})\text{sinc}2\pi W(t-\frac{n}{2W}) \]- 其中,\(\text{sinc}(x)=\frac{\sin x}{x}\)
连续信号的离散化¶
等效平行信道¶

若噪声 \(z(t)\) 是均值为 0、单边带宽为 \(W\)、双边功率谱密度为 \(\frac{N_0}{2}\) 的白高斯过程,其 Nyquist 采样序列 \(\{z_n=z(\frac{n}{2W})\}\) 为均值为 0,方差为 \(\frac{N_0}{2}\) 的独立随机序列
模拟高斯信道的容量¶
考虑 \(T\) 秒钟的模拟传输过程,它相当于 \(2WT\) 次平行的传输。设每次传输时输入样本 \(x_i\) 的方差分别为 \(P_i\),则由功率限制:
\(T\) 秒钟的传输容量:\(C_T=\frac{1}{2}\sum\limits_{i=1}^{2WT}\log(1+\frac{P_i}{N_i})\),\(N_i\equiv\frac{N_0}{2},P_i\equiv\frac{P}{2W};C_T=WT\log(1+\frac{P}{N_0W})\)
等效地,每秒钟的容量 \(C=W\log(1+\frac{P}{N_0W})\)
传输 1 比特需要的最小能量¶
传输每比特的平均能量为 \(\epsilon_b=\frac{P}{R}\)
由容量公式可得 \(\eta=\frac{R}{W}=\log(1+\frac{\epsilon_bR}{N_0W})\)
所以在频谱效率为 \(\eta\) 时,\(\epsilon_b^*(\eta)=\frac{N_0}{\eta}(2^{\eta}-1)\)
由于是 \(\eta\) 的严格单调增函数,所以传输 1 比特的最小能量为 \(\epsilon_b^*(0)=\lim\limits_{R\rightarrow 0}\epsilon_b^*(\eta)=N_0\ln 2=0.693N_0\)
- 推论
- \(\epsilon_b^*(R)=\frac{N_0}{R}(2^R-1)\) 是 \(R\) 的增函数,令 \(R=x\log e\)
- \(P(W)=(2^{\frac{C}{W}}-1)N_0W\) 是 \(W\) 的减函数,令 \(W=\frac{C}{x\log e}\)
功率与频率资源的互换¶
功率与频率资源的互换:所使用的带宽越宽,需要的功率越小
- 每比特需要的最少功率:\(P_{\min}=\lim\limits_{W\rightarrow\infty}(2^{\frac{C}{W}}-1)N_0W=N_0C\ln 2\)
- 功率效率的极限:\(W\rightarrow\infty,C\rightarrow\frac{P}{N_0}\log e(\text{bps})\)
对通信技术的启示¶
- 使用的带宽越大,系统功率效率越高,或者说传输同样信息,需要的功率越小。CDMA, OFDM... (不利因素)
- P 随 C 呈指数上升趋势
- 在 AWGN 信道上信息传输得越慢,则越节省能量
💬 评论
评论系统加载中...